In[1]:=
![]()
Out[1]=
![]()
In[2]:=
![]()
Out[2]=
![{-1, Cos[π/7] + i Sin[π/7], -Cos[(2 π)/7] - i Sin[(2 π)/7], Cos[(3 π) ... [(4 π)/7], Cos[(5 π)/7] + i Sin[(5 π)/7], -Cos[(6 π)/7] - i Sin[(6 π)/7]}](HTMLFiles/ratk7_4.gif)
In[3]:=
![]()
Out[3]=
![]()
Juurten etäisyys origosta voidaan nähdä suoraan kohdista ratk ja summamuoto. Kaikki juuret ovat siis etäisyydellä 1 origosta. Kompleksilukujen itseisarvo eli etäisyys origosta saadaan myös komennolla Abs.
In[4]:=
![]()
Out[4]=
![]()
In[5]:=
![]()
Out[5]=
![]()
Juurten napakulmat nähdään suoraan kohdasta summamuoto. Ne voidaan myös laskea komennolla Arg.
In[6]:=
![]()
Out[6]=
![]()
Seuraavassa on vielä piirretty juuret kompleksitasoon. Ensin on muodostettu juuria vastaavat kompleksitason pisteet ja sitten ne on piirretty ListPlot-komennolla, jossa on optioksi annettu pisteen koko.
In[7]:=
![]()
Out[7]=
![{{-1, 0}, {Cos[π/7], Sin[π/7]}, {-Cos[(2 π)/7], -Sin[(2 π)/7]}, {Cos[(3](HTMLFiles/ratk7_14.gif)
In[8]:=
![]()
![[Graphics:HTMLFiles/ratk7_16.gif]](HTMLFiles/ratk7_16.gif)
Out[8]=
![]()
Ratkaisut sijaitsevat tasavälisesti ympyrän kehällä.
In[9]:=
![]()
Out[9]=
![]()
In[10]:=
![]()
Out[10]=
![]()
In[11]:=
![]()
Out[11]=
![]()
In[12]:=
![]()
Out[12]=
![]()
In[13]:=
![]()
Out[13]=

Yhtälöparilla on reaalisia ratkaisuja, kun juurrettava
. Lisäksi nimittäjässä oleva
ei saa olla nolla.
In[14]:=
![]()
In[15]:=
![]()
Out[15]=
![]()
In[16]:=
![]()
Out[16]=
![]()
Ratkaisussa oleva nimittäjä ei siis ole nolla millään reaaliluvulla a. Siten ainoa ehto sille, että ratkaisut ovat reaalisia, on
tai
.
In[17]:=
![]()
Out[17]=
![]()
In[18]:=
![]()
Out[18]=
![]()
Lasketaan ympyröiden leikkauspisteet ja sijoitetaan ne muuttujiin lp1 ja lp2.
In[19]:=
![]()
Out[19]=

In[20]:=
![]()
Out[20]=
![]()
Leikkauspisteiden etäisyydet origosta ovat etaisyys1 ja etaisyys2.
In[21]:=
![]()
Out[21]=
![]()
In[22]:=
![]()
Out[22]=
![]()
In[23]:=
![]()
Out[23]=
![]()
In[24]:=
![]()
Out[24]=
![]()
Leikkauspisteiden välinen vektori on lp1lp2 ja leikkauspisteiden välinen etäisyys valinenetaisyys.
In[25]:=
![]()
Out[25]=
![]()
In[26]:=
![]()
Out[26]=
![]()
In[27]:=
![]()
Out[27]=
![]()
Seuraavassa on vielä piirretty ympyrät ImplicitPlot-komennolla.
In[28]:=
![]()
In[29]:=
![]()
![[Graphics:HTMLFiles/ratk7_61.gif]](HTMLFiles/ratk7_61.gif)
Out[29]=
![]()
In[30]:=
![]()
Out[30]=
![]()
In[31]:=
![]()
Out[31]=
![]()
Funktio pkert muodostaa vektorin, jossa on painokertoimet, kun osavälejä on n kpl.
In[32]:=
![]()
In[33]:=
![]()
Funktio fktarvot laskee funktion f arvot välillä 0...1, kun osavälejä on n kpl.
In[34]:=
![]()
Funktio kerroin on puolisuunnikassäännössä oleva kerroin
. Tässä tehtävässä
ja
.
In[35]:=
![]()
Funktio puolisuunnikasmenet laskee funktion f määrätyn integraalin välillä 0...1 käyttäen n osaväliä.
In[36]:=
![]()
Esimerkiksi neljällä osavälillä saadaan määrätylle integraalille arvio:
In[37]:=
![]()
Out[37]=
![]()
Vastaavalla tavalla saadaan arviot myös muille n:n arvoille. Nämä voidaan laskea myös yhdellä komennolla:
In[38]:=
![]()
Out[38]=
![]()
Verrataan saatuja arvoja vielä NIntegrate-komennolla saatuun arvoon.
In[39]:=
![]()
Out[39]=
![]()
In[40]:=
![]()
Out[40]=
![]()
In[41]:=
![]()
Out[41]=
![]()
In[42]:=
![d = r * ArcCos[Sin[theta1 Degree] * Sin[theta2 Degree] + Cos[theta1 Degree] * Cos[theta2 Degree] * Cos[(fii1 - fii2) Degree]]](HTMLFiles/ratk7_85.gif)
Out[42]=
![]()
a) Helsingin ja Tokion välinen etäisyys
In[43]:=
![]()
Out[43]=
![]()
In[44]:=
![]()
Out[44]=
![]()
In[45]:=
![]()
![]()
Out[45]=
![]()
In[46]:=
![]()
![]()
Out[46]=
![]()
In[47]:=
![]()
Out[47]=
![]()
b) Reykjavikin ja Sydneyn välinen etäisyys
In[48]:=
![]()
![]()
Out[48]=
![]()
In[49]:=
![]()
![]()
Out[49]=
![]()
In[50]:=
![]()
![]()
Out[50]=
![]()
In[51]:=
![]()
![]()
Out[51]=
![]()
In[52]:=
![]()
Out[52]=
![]()
Alapuolella tehtävä on ratkaistu myös muodostamalla funktio, johon sopivat maantieteelliset koordinaatit sijoitetaan.
In[53]:=
![etaisyys[theta1_, fii1_, theta2_, fii2_] := r * ArcCos[Sin[theta1 Degree] * Sin[theta2 Degree] + Cos[theta1 Degree] * Cos[theta2 Degree] * Cos[(fii1 - fii2) Degree]]](HTMLFiles/ratk7_113.gif)
In[54]:=
![]()
Out[54]=
![]()
In[55]:=
![]()
Out[55]=
![]()
In[56]:=

Out[56]=
![]()
In[57]:=
![]()
In[58]:=
![]()
Out[58]=
![]()
In[59]:=
![]()
![[Graphics:HTMLFiles/ratk7_124.gif]](HTMLFiles/ratk7_124.gif)
Out[59]=
![]()
In[60]:=
![]()
Out[60]=
![]()
In[61]:=
![]()
![[Graphics:HTMLFiles/ratk7_129.gif]](HTMLFiles/ratk7_129.gif)
Out[61]=
![]()
Kun torusta leikataan tasoilla
, ovat leikkauskäyrät sisäkkäisiä origokeskisiä ympyröitä. Kun
, niin leikkauskäyränä on 2-säteinen origokeskinen ympyrä. (Sitä Mathematica ei kuitenkaan suostunut piirtämään.)
In[62]:=
![]()
Out[62]=
![]()
In[63]:=
![]()
![[Graphics:HTMLFiles/ratk7_136.gif]](HTMLFiles/ratk7_136.gif)
Out[63]=
![]()
In[64]:=
![]()
Out[64]=
![]()
In[65]:=
![]()
![[Graphics:HTMLFiles/ratk7_141.gif]](HTMLFiles/ratk7_141.gif)
Out[65]=
![]()
In[66]:=
![]()
Out[66]=
![]()
In[67]:=
![]()
![[Graphics:HTMLFiles/ratk7_146.gif]](HTMLFiles/ratk7_146.gif)
Out[67]=
![]()
In[68]:=
![]()
Out[68]=
![]()
In[69]:=
![]()
![[Graphics:HTMLFiles/ratk7_151.gif]](HTMLFiles/ratk7_151.gif)
Out[69]=
![]()
In[70]:=
![]()
Out[70]=
![]()
In[71]:=
![]()
![[Graphics:HTMLFiles/ratk7_156.gif]](HTMLFiles/ratk7_156.gif)
Out[71]=
![]()
In[72]:=
![]()
Out[72]=
![]()
In[73]:=
![]()
![[Graphics:HTMLFiles/ratk7_161.gif]](HTMLFiles/ratk7_161.gif)
Out[73]=
![]()
Kun torusta leikataan tasoilla
, missä
, niin syntyy kuudenlaisia leikkauskuvioita. Kun
, syntyy kaksi erillistä ympyrää. Kun
, syntyy leikkaus4-tyyppisiä kuvioita. Kun
, syntyy kuvio leikkaus5. Kun
, syntyy leikkaus6-tyyppinen kuvio. Kun
syntyy leikkaus7-tyyppinen kuvio. Kun
syntyy leikkaus8-tyyppisiä kuvioita. Kun
, syntyy pelkkä piste.
In[74]:=
![]()
Out[74]=
![]()
Seuraavat tulostukset ovat hieman pitkiä; tämän johdosta puolipisteet syötteiden perään.
In[75]:=
![]()
In[76]:=
![]()
Out[76]=
![]()
In[77]:=
![]()
In[78]:=
![]()
Out[78]=
![]()
In[79]:=
![]()
Out[79]=
![]()
Vakion a pitää siis olla
.
Kyseessä on siis geometrinen sarja, joka suppenee, kun
.
In[80]:=
![]()
Out[80]=
![]()
Määritellään summafunktio ja piirretään sen kuvaaja.
In[81]:=
![]()
Out[81]=
![]()
In[82]:=
![]()
![]()
![]()
![]()
![]()
![[Graphics:HTMLFiles/ratk7_193.gif]](HTMLFiles/ratk7_193.gif)
Out[82]=
![]()
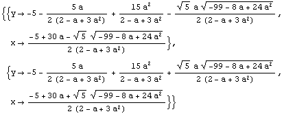
Toisen asteen yhtälön ratkaisukaava:
In[83]:=
![]()
Out[83]=
![]()
In[84]:=
![]()
Out[84]=
![]()
In[85]:=
![]()
Out[85]=
![]()
Molemmilla tavoilla saadaan samat ratkaisut.
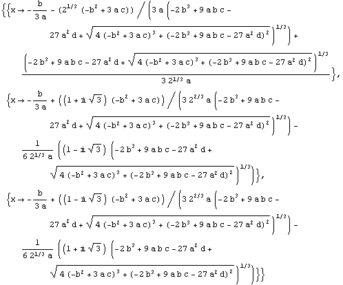
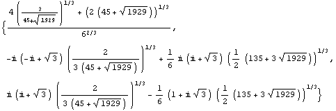
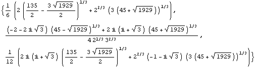
Kolmannen asteen yhtälön ratkaisukaava:
In[86]:=
![]()
In[87]:=
![]()
Out[87]=

In[88]:=
![]()
Out[88]=

In[89]:=
![]()
Out[89]=

In[90]:=
![]()
Out[90]=
![]()
Molemmilla tavoilla saadaan samat ratkaisut.
Converted by Mathematica (August 25, 2003)